

ĐẶT CÂU HỎI
TÌM KIẾM
DANH MỤC CÂU HỎI
Trang chủ
Thông tin người hỏi
Kim Quý
hahaddd
0 câu hay nhất
3 câu đã hỏi
0 câu trả lời
0 lượt cảm ơn
Thông tin chi tiết
1 năm trước
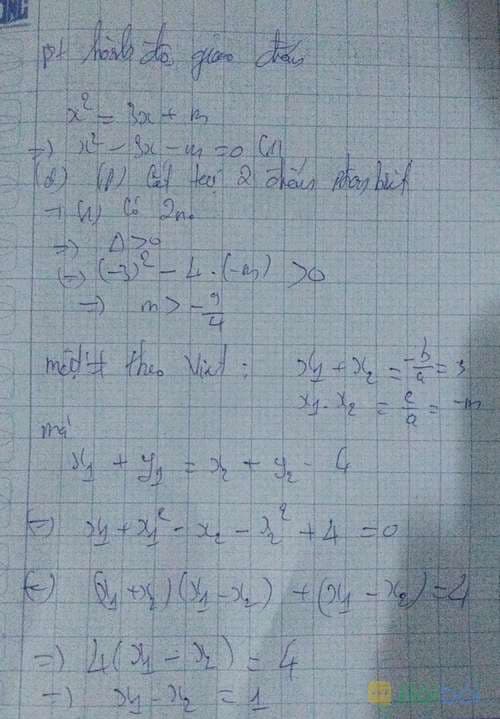
Toán HọcLớp 9Kim Quý
- 1 năm trước
Lưu ý
- Website không cung cấp lời giải sẵn, mà là nơi để mọi người giúp đỡ, hướng dẫn, trao đổi cách làm bài tập với nhau.
- Nếu bạn gặp một bài khó, hãy đặt câu hỏi ngay trên website để nhận được sự trợ giúp từ mọi người. - Đặt câu hỏi ngay
- Hãy giúp đỡ mọi người bằng cách trả lời câu hỏi để nhận được những phần quà, tiền mặt giá trị - Nhận tiền thưởng và đổi quà
Câu hỏi liên quan
3
Câu 2. (3,00 điểm) Cho hàm số số y = (m + 1) * x + 3 (với m = -1) có đồ thị là đường thẳng (d). a) Vẽ đồ thị hàm số khi m = 2 b) Tìm m để đường thẳng (d) song song y = - 2x + 1 c) Tim m đề đường thẳng (d) cắt hai trục tọa độ Oy, Ox lần lượt tại hai điểm A và B sao cho tam giác OAB có diện các trục là centimet). 9c * m ^ 2 với O là gốc tọa độ và đơn vị đo trên
250 đ
1
Giúp e 2 câu này với
500 đ
1
Tìm số nguyên dương n để (n+3)(n+4) chia hết cho 3n
500 đ
Xem thêm