

ĐẶT CÂU HỎI
TÌM KIẾM
DANH MỤC CÂU HỎI
Trang chủ
Thông tin người hỏi

Thu Trương Hoài
hoaithu_
0 câu hay nhất
1 câu đã hỏi
0 câu trả lời
0 lượt cảm ơn
Thông tin chi tiết

22 ngày trước
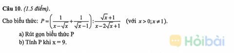
Toán HọcLớp 9Thu Trương Hoài
- 22 ngày trước

Lưu ý
- Website không cung cấp lời giải sẵn, mà là nơi để mọi người giúp đỡ, hướng dẫn, trao đổi cách làm bài tập với nhau.
- Nếu bạn gặp một bài khó, hãy đặt câu hỏi ngay trên website để nhận được sự trợ giúp từ mọi người. - Đặt câu hỏi ngay
- Hãy giúp đỡ mọi người bằng cách trả lời câu hỏi để nhận được những phần quà, tiền mặt giá trị - Nhận tiền thưởng và đổi quà
Câu hỏi liên quan