

ĐẶT CÂU HỎI
TÌM KIẾM
DANH MỤC CÂU HỎI
Trang chủ
Thông tin người hỏi
Nhan Ngo
Dungacc
0 câu hay nhất
1 câu đã hỏi
0 câu trả lời
0 lượt cảm ơn
Thông tin chi tiết
1 tháng trước
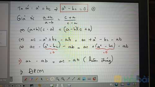
Toán HọcLớp 7Nhan Ngo
- 1 tháng trước

Lưu ý
- Website không cung cấp lời giải sẵn, mà là nơi để mọi người giúp đỡ, hướng dẫn, trao đổi cách làm bài tập với nhau.
- Nếu bạn gặp một bài khó, hãy đặt câu hỏi ngay trên website để nhận được sự trợ giúp từ mọi người. - Đặt câu hỏi ngay
- Hãy giúp đỡ mọi người bằng cách trả lời câu hỏi để nhận được những phần quà, tiền mặt giá trị - Nhận tiền thưởng và đổi quà
Câu hỏi liên quan
8
lm hộ cần gấp
2.500 đ
3
cho tam giác ABC có ba góc nhọn.AB bé hơn AC.K thuộc AC sao cho AK=AB.M là trung điểm của cạnh BK.AX lài tia đối của tia AB.AYlà tia phân giác của góc CAX chứng minh: tam giác AMB=tam giác AMK AM vuông gốc với BK AY song song với BK
500 đ
3
Tìm các số nguyên a sao cho x=$\frac{2a-1}{a-1}$ là 1 số nguyên
500 đ
Xem thêm